
1. 활성화 함수(Activation Function)란?


- synapse는 전달된 전기신호가 최소한의 자극 값을 초과하면 활성화되어 다음 뉴런으로 전기신호를 전달한다.
- 활성화 함수는 이것을 모방하여 값이 작을때는 출력값을 작은겂으로 막고 일정한 값을 초과하면 출력값이 급격히 커지는 함수를 이용한다.
- 신경망에서는 전달받은 데이터를 가중치를 고려해서 합산하고 그 값을 활성화 함수를 적용해 다음층에 전달한다.
- 신경망에서는 활성화 함수로 비선형함수를 사용해야 한다.
- 입력 신호의 총합을 출력신호로 변환하는 함수
- 입력 신호의 총합이 활성화를 일으키는 지를 정하는 역할
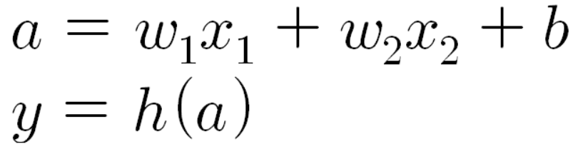
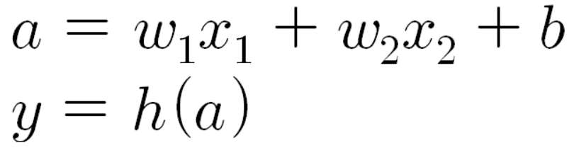
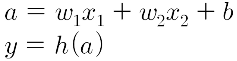
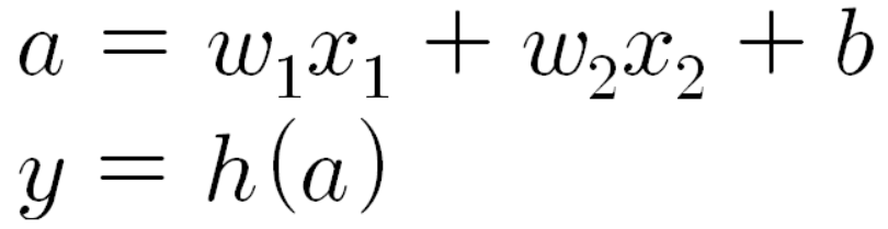
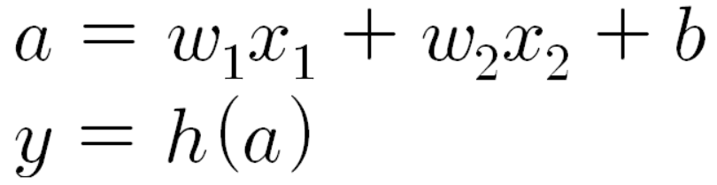
- 가중치가 곱해진 입력 신호의 총합을 계산하고, 그 합을 활성화 함수에 입력해 결과를 내는 2단계로 처리된다.
- 입력 신호의 총합 계산 : a = w1x1 + w2x2 + b
합을 활성화함수에 입력하여 결과 출력 : y = h(a)
2. 활성화 함수의 종류

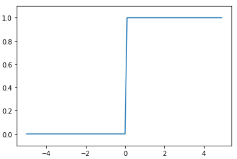
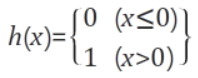
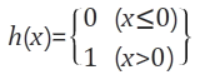
2-1 계단 함수 (step function)


- 계단모양의 함수
- 퍼셉트론에서 사용하는 활성화 함수
- 임계치를 넘으면 출력값이 0 또는 1로 나온다.
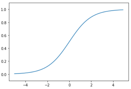
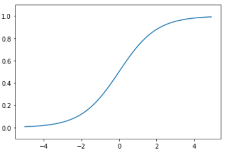
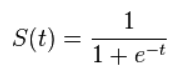
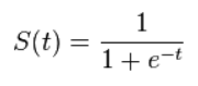
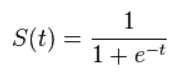
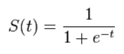
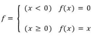
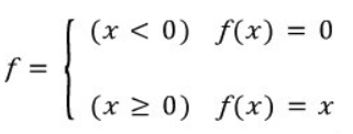
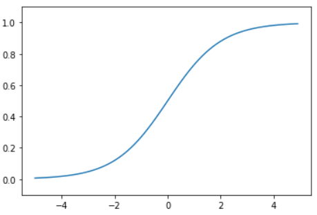
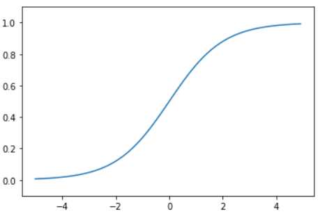
2-2 시그모이드 함수 (sigmoid function)


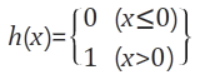
- S자 모양의 함수
- 출력이 0과 1사이의 값만 가질 수 있도록하는 비선형 함수
- 0과 1사이의 연속적인 출력값을 가질 수 있다.
- 입력이 중요하면 큰 값을 출력하고 입력이 중요하지 않으면 작은 값을 출력한다.
- 깊은 신경망을 쌓을 수 있게 만들어 준다.
- 하지만 신경망이 너무 깊어지면 출력이 값이 0이나 1로 수렴하게 되어서 그래디언트를 소멸시켜 버린다.
(Gradient Vanishing) - 0이 아니라 0.5가 중심이기 때문에 항상 양수를 출력해서, 출력의 가중치 합이 입력의 가중치 합보다 커질 가능성이 높다.(편향이동)
- 각 레이어를 지날 때마다 분산이 계속 커져 가장 높은 레이어에서느 0이나 1로 수렴하게 되는 문제점이 있다.
- 신경망에서 자주 이용하는 함수
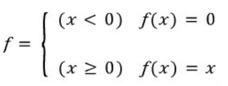
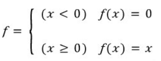
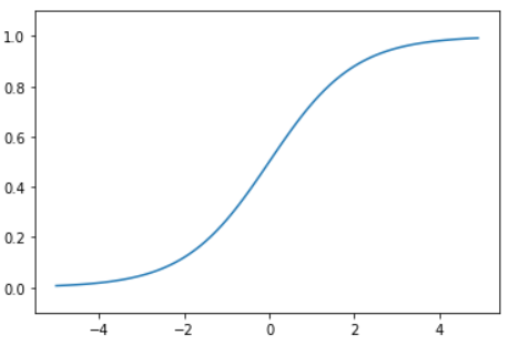
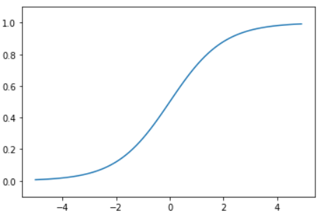
2-3 렐루함수 (ReLU function)


- 직역하면 정류된 선형 함수라는 뜻이다.
- 입력값이 양수이면 그대로 출력하고, 0이하면 0으로 출력한다.
- 시그모이드 함수의 Gradient Vanishing 문제를 해결하기 위해 사용되는 활성화 함수이다.
- 미분이 간단해 진다.
3. 활성화 함수 구현하기
|
계단 함수 (step function) |
|||
|
import numpy as np
def step_function(x) : |
![]() |
||
|
시그모이드 함수 (Sigmoid function) |
|||
|
import numpy as np
def sigmoid(x): |
![]() |
||
|
렐루 함수 (ReLU function) |
|||
|
import numpy as np
def relu(x): |
![]() |
||
'인공지능 > 딥러닝' 카테고리의 다른 글
| 손실 함수(Loss Function)와 최적화(Optimizer) (0) | 2020.04.27 |
|---|---|
| 신경망의 출력층 (0) | 2020.04.21 |
| 인공지능 / 머신러닝과 딥러닝의 차이점 (0) | 2020.04.19 |
| 신경망 (0) | 2020.04.13 |
| 퍼셉트론 (0) | 2020.04.13 |


