
단층 신경망
|
# 라이브러리 불러오기 import pandas as pd import tensorflow as tf import numpy as np from pandas import get_dummies from sklearn.model_selection import train_test_split tf.__version__ |
|
|
# 아이리스 데이터 불러오기 iris = pd.read_csv("C:/data/iris.csv") iris.head() |
![]() |
|
# 독립변수, 종속변수 분리 x_data = iris.iloc[:,:-1] y_lables = iris.iloc[:,-1] y_lables.unique() |
![]() |
|
# 수동으로 원핫 인코딩 lables = {"Iris-setosa":[1,0,0], "Iris-versicolor":[0,1,0], "Iris-virginica":[0,0,1]} y_onehot = list(map(lambda v:lables[v], y_lables)) |
|
|
# 훈련 데이터셋, 테스트 데이터셋 분리 x_train,x_test,y_train,y_test = train_test_split(x_data,y_onehot,train_size=0.8) x_train.shape |
![]() |
|
# x,y,w,b 변수 정의 x = tf.placeholder(tf.float32,[None,4]) y = tf.placeholder(tf.float32,[None,3]) w = tf.Variable(tf.random_normal([4,3],seed=0),name="weight") b = tf.Variable(tf.random_normal([3],seed=0),name="bias") |
|
|
# hypothesis 계산식 만들기 hypothesis = tf.nn.softmax(tf.matmul(x,w) + b) |
|
|
# 손실함수로 크로스엔트로피 사용 cross_entropy = -tf.reduce_sum(y*tf.log(hypothesis)) |
|
|
# 경사하강법을 사용하여 cost 줄이기 train = tf.train.GradientDescentOptimizer(0.005).minimize(cross_entropy) |
|
|
# 예측결과와 정확도 정의 predict = tf.equal(tf.argmax(hypothesis,1),tf.argmax(y,1)) accuracy = tf.reduce_mean(tf.cast(predict,tf.float32)) |
|
|
# 세션 열기 # 변수 초기화 sess.run(tf.global_variables_initializer())
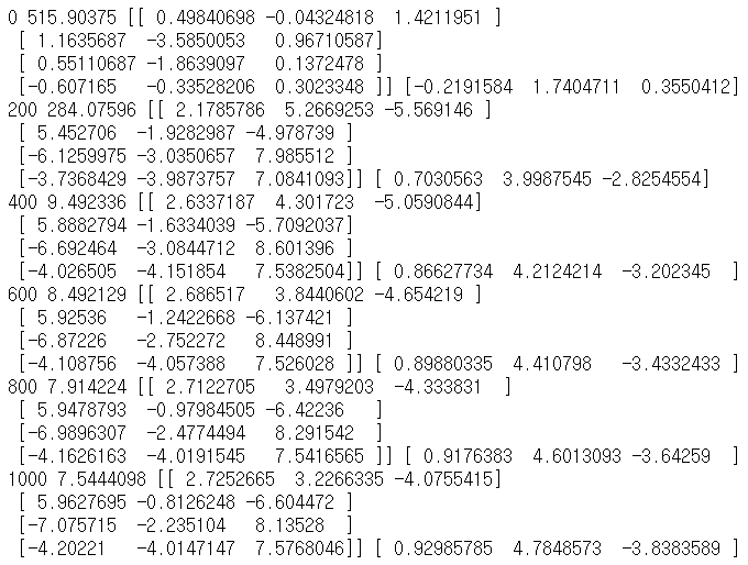
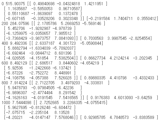
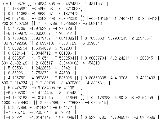
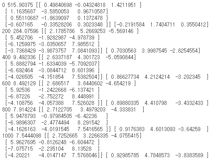
for step in range(1001) : cross_v,w_v,b_v,_ = sess.run([cross_entropy,w,b,train], feed_dict={x:x_train,y:y_train}) if step % 200 == 0 : print(step,cross_v,w_v,b_v) |
![]() |
|
# 학습모델 정확도 확인 acc = sess.run(accuracy,feed_dict={x:x_test, y:y_test}) print("정답률 :",acc)
|
![]() |
|
# 새로운 데이터 예측 a = sess.run(hypothesis, feed_dict={x:[[5.1,3.5,1.4,0.2]]}) print(a, sess.run(tf.argmax(a,1)))
|
![]() |
다층 신경망
|
# 라이브러리 불러오기 import pandas as pd import tensorflow as tf import numpy as np from pandas import get_dummies from sklearn.model_selection import train_test_split tf.__version__ |
|
|
# 아이리스 데이터 불러오기 iris = pd.read_csv("C:/data/iris.csv") iris.head() |
![]() |
|
# 독립변수 컬럼명 뽑아내기 # 종속변수 컬럼명 뽑아내기 labels |
![]() ![]() |
|
# 인덱스값 뽑아내기 data_norm = pd.DataFrame(iris) indices = data_norm.index.tolist() indices = np.array(indices) indices |
![]() |
|
# 인덱스번호 흐트려놓기 np.random.shuffle(indices) indices |
![]() |
|
# 랜덤한 인덱스의 이름 출력 x = data_norm.reindex(indices)[features] y = data_norm.reindex(indices)[labels] y |
![]() |
|
# 원핫인코딩 y = get_dummies(y) y |
![]() |
|
# 훈련 데이터셋, 테스트 데이터셋 분리 x_train,x_test,y_train,y_test = train_test_split(x,y,train_size=0.8) |
|
|
# 입력층 / x,y 변수 지정 x = tf.placeholder(tf.float32,[None,4]) y = tf.placeholder(tf.float32,[None,3]) |
|
|
### 첫번째 은닉층 # weight값 / 은닉층이므로 열을 마음대로 지정해도 된다. weight_1 = tf.Variable(tf.random_normal([4,10],seed=0),name="weight_1") bias_1 = tf.Variable(tf.random_normal([10],seed=0),name="bias_1") logits_1 = tf.matmul(x,weight_1)+bias_1 # 활성화 함수로 relu사용 relu_1 = tf.nn.relu(logits_1) |
|
|
### 두번째 은닉층 weight_2 = tf.Variable(tf.random_normal([10,3],seed=0),name="weight_2") bias_2 = tf.Variable(tf.random_normal([3],seed=0),name="bias_2") logits_2 = tf.matmul(relu_1,weight_2)+bias_2 |
|
|
# 텐서에서 제공하는 크로스엔트로피 메소드를 사용하면 소프트맥스를 먼저 쓰면 안됨 hypothesis = tf.nn.softmax(logits_2) |
|
|
### 출력층 |
|
|
# 경사하강법을 사용하여 cost 줄이기 train = tf.train.GradientDescentOptimizer(learning_rate = 0.001).minimize(cost) |
|
|
# 예측결과와 정확도 정의 predict = tf.equal(tf.argmax(hypothesis,1),tf.argmax(y,1)) accuracy = tf.reduce_mean(tf.cast(predict,tf.float32)) |
|
|
# 세션 열기 # 변수 초기화 sess.run(tf.global_variables_initializer())
for step in range(2001): sess.run(train,feed_dict={x:x_train,y:y_train}) if step%400 == 0 : loss, acc = sess.run([cost,accuracy],feed_dict={x:x_test, y:y_test}) print("step :",step,"loss :",loss,"Acc :",acc) |
![]() |
|
# 학습모델 정확도 확인 a = sess.run(hypothesis,feed_dict={x:x_test}) print(a,sess.run(tf.argmax(a,1))) |
![]() |
|
# 데이터 형식이 안맞아서 오류가 난다. np.mean(sess.run(tf.argmax(a,1))) == np.argmax(y_test,1) |
![]() |
|
# y_test를 array 바꿔주면 오류가 나지 않는다. np.mean(sess.run(tf.argmax(a,1))) == np.argmax(np.array(y_test).astype(np.float32),1) |
![]() |
'인공지능 > 딥러닝' 카테고리의 다른 글
| CNN으로 강아지,고양이 분류하기 (13) | 2020.06.12 |
|---|---|
| CNN 코딩 기초 (0) | 2020.06.12 |
| 텐서플로를 이용한 신경망 구현 (0) | 2020.06.12 |
| 텐서플로 - 설치, 상수/변수 선언, 메소드 (0) | 2020.05.28 |
| CNN의 네트워크 종류 (0) | 2020.05.25 |
















